반응형
250x250
Notice
Recent Posts
Recent Comments
Link
| 일 | 월 | 화 | 수 | 목 | 금 | 토 |
|---|---|---|---|---|---|---|
| 1 | 2 | 3 | ||||
| 4 | 5 | 6 | 7 | 8 | 9 | 10 |
| 11 | 12 | 13 | 14 | 15 | 16 | 17 |
| 18 | 19 | 20 | 21 | 22 | 23 | 24 |
| 25 | 26 | 27 | 28 | 29 | 30 | 31 |
Tags
- bayesian
- 불확실성
- GNN
- 빅데이터
- Crawling
- uncertainty
- 파이썬
- pandas
- PYTHON
- 우분투
- 강화학습
- R
- 텍스트마이닝
- Graph
- 텍스트분석
- VAE
- YarinGal
- 크롤링
- 리눅스
- 논문리뷰
- 코딩테스트
- pytorch
- 백준
- 베이지안
- 데이터분석
- AI
- selenium
- dropout
- DATA
- 알고리즘
Archives
- Today
- Total
끄적거림
[논문 리뷰] On Uncertainty, Tempering, and Data Augmentation in Bayesian Classification - 3.Background 본문
개인 공부 정리/Bayesian
[논문 리뷰] On Uncertainty, Tempering, and Data Augmentation in Bayesian Classification - 3.Background
Signing 2023. 2. 14. 23:05728x90
반응형
[논문 소개] On Uncertainty, Tempering, and Data Augmentation inBayesian Classification - 0.Abstract
[논문 리뷰] On Uncertainty, Tempering, and Data Augmentation in Bayesian Classification - 1.Introduction
[논문 리뷰] On Uncertainty, Tempering, and Data Augmentation in Bayesian Classification - 2.Related Work
3.1 Bayesian Model Averaging
베이지안 추론에 의하면, input-output 세트를 나타내는 데이터셋 $D = {(x_i, y_i)}^N_{i=1}$을 갖는 parameter들의 $posterior~dist = p(\theta|D) \propto p(D|\theta)p(\theta)$ 를 추론해야하는 것에 초점을 맞추고 있다.
만약 input $x_{*}$이 있다면, 우리는 posterior predictive dist.를 $Bayesian~model~averaging(BMA)$를 아래와 같이 나타낼 수 있다.

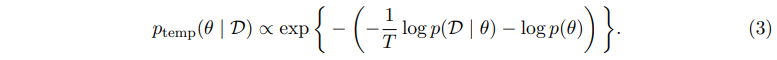
3.2 Cold Posterior and Tempering


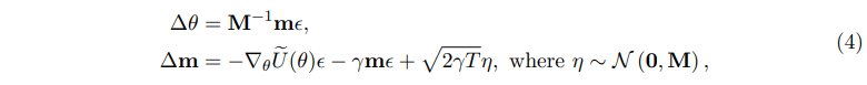
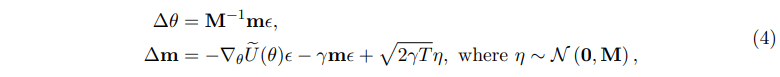
3.3 Stochastic Gradient Langevin Dynamics (SGLD)

3.4 Bayesian Classification
728x90
반응형
'개인 공부 정리 > Bayesian' 카테고리의 다른 글
Comments