| 일 | 월 | 화 | 수 | 목 | 금 | 토 |
|---|---|---|---|---|---|---|
| 1 | 2 | 3 | 4 | 5 | 6 | 7 |
| 8 | 9 | 10 | 11 | 12 | 13 | 14 |
| 15 | 16 | 17 | 18 | 19 | 20 | 21 |
| 22 | 23 | 24 | 25 | 26 | 27 | 28 |
- YarinGal
- PYTHON
- 불확실성
- selenium
- uncertainty
- 알고리즘
- AI
- 우분투
- 리눅스
- R
- 코딩테스트
- Graph
- pytorch
- 파이썬
- GNN
- 강화학습
- Crawling
- bayesian
- 베이지안
- dropout
- pandas
- 데이터분석
- 논문리뷰
- 텍스트분석
- 크롤링
- 텍스트마이닝
- 백준
- 빅데이터
- VAE
- DATA
- Today
- Total
끄적거림
[논문 리뷰] What uncertainties do we need in Bayesian deep learning for computer vision? - 2.Related Work(2) 본문
[논문 리뷰] What uncertainties do we need in Bayesian deep learning for computer vision? - 2.Related Work(2)
Signing 2020. 11. 12. 08:42
2. Related Work
2.2 Heteroscedastic Aleatoric Uncertainty
본 논문에서는 Homoscedastic을 따로 다루지는 않는다.
그 이유는 Heteroscedastic이 이분산성의 성질을 가지고 있고, Homoscedasticd은 등분산적 성질을 가지고 있기 때문에, Heteroscedastic이 Homoscedasticd보다 더 일반적인 개념이기 때문이라고 소개하고 있다.
하지만 우리가 알아야 할 것은 aleatoric uncertainty(데이터 불확실성)은 우리가 컨트롤 할 수 없다. 왜냐하면 이미 관측되어버린 값이니 더이상 어떻게 할 수 없는 것이다.

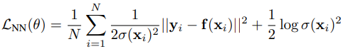
해당 식은 Epistemic Uncertainty에서의 loss function에서 negative log-likelihood를 MSE로 근사시켰던 것을 대입하여 만든 식으로 볼 수 있다.(전 포스팅 참고)
여기서 sigma(x)는 각 x input들에 대한 sigma(=uncertainty)라고 생각하면 되겠다.(Heteroscedastic Aleatoric Uncertainty)
가만 생각해보면 왜 이런 식이 나온지는 쉽게 알 수 있다.

우리가 배우기로는 regression 모델링을 진행할 때, 몇가지 가정을 하는데 그 중에서 정규성 가정이란 것이 있다.
잔차의 정규성이란 잔차들이 각각 normal distribution을 따라야한다는 가정이다.
어떻게 보면 이 가정이 데이터에 대한 불확실성이라 생각할 수도 있겠다.
우선 normal distribution pdf는 아래 식과 같고,

여기서 log를 씌운다면 이렇게 된다.

이 식을 잘 정리하면 위에서 언급했던 loss function이 튀어 나온다.

다시 loss function을 가져와서 확인해보자.
우변의 첫 번째 항은 MSE term이고, 두 번째 항은 data uncertainty에 대한 regularization term으로 작용한다.
이 것은 data uncertainty가 의미 없이 높아지는 것을 방지하는 것을 의미한다.
여기서의 sigma는 각 x input들에 대한 분산(=sigma =uncertainty =data uncertainty)이다.
하지만 이 식으로는 epistemic과 aleatoric 불확실성에 대해 동시에 구하는데 문제가 있다.
두 불확실성을 합치는 챕터는 다음 포스팅에서,...